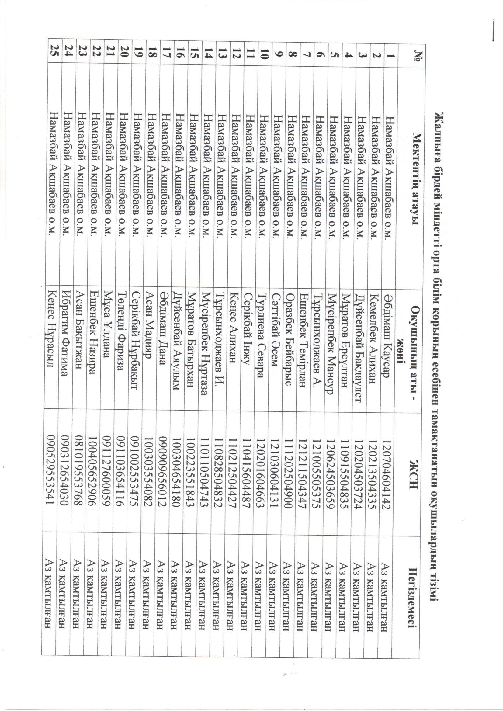
Ашық бюджет » сш. им.Акшабаева
Жамбыл облысы
Байзақ ауданы білім бөлімінің
"Намазбай Ақшабаев атындағы орта мектеп"
коммуналдық мемлекеттік мекемесі
Қабылдау бөлімі :
+7(726)3732059
ДАІЖО:
+7(747)1903995
Нашар көрушілер
нұсқасы
07
июнь
2019

Ашық бюджет







Похожие публикации:

07 июнь 2019 Ашық бюджет
30 ноябрь 2018 Сынып сағаттары
17 октябрь 2018 Ашық бюджет
Прокомментировать
  • bowtiesmilelaughingblushsmileyrelaxedsmirk
    heart_eyeskissing_heartkissing_closed_eyesflushedrelievedsatisfiedgrin
    winkstuck_out_tongue_winking_eyestuck_out_tongue_closed_eyesgrinningkissingstuck_out_tonguesleeping
    worriedfrowninganguishedopen_mouthgrimacingconfusedhushed
    expressionlessunamusedsweat_smilesweatdisappointed_relievedwearypensive
    disappointedconfoundedfearfulcold_sweatperseverecrysob
    joyastonishedscreamtired_faceangryragetriumph
    sleepyyummasksunglassesdizzy_faceimpsmiling_imp
    neutral_faceno_mouthinnocent
Введите код с картинки:* Кликните на изображение чтобы обновить код, если он неразборчив